Вернуться к содержанию учебника
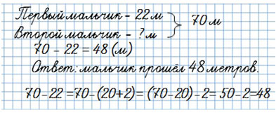
1. Длина аллеи 70 м. Два мальчика пошли навстречу друг другу с разных концов аллеи. Один мальчик прошёл до встречи 22 м. Сколько метров прошёл до встречи другой мальчик?

Повтори действия с двузначными числами.

2. Когда Митя пробежал 50 м, ему осталось пробежать до конца дорожки 25 м. Узнай длину этой дорожки.
Начерти схематический рисунок, чтобы решить эту задачу.
3. 
7
5
8 = 20
16
9
5 = 2
4
9
7 = 6
6
4
9 = 11
4. Вася 45 мин смотрел по телевизору фильм про Тарзана и ещё 15 мин - мультфильм. Сколько всего минут Вася смотрел эти фильмы?
Составь задачи, обратные данной, и реши их.

45 + 15 = 60 (мин)
60 мин = 1 ч
Ответ: Вася смотрел фильмы 1 час.
Обратная задача 1:
Вася смотрел по телевизору мультфильм и фильм про Тарзана в течение 1 часа. Мультфильм длился 15 минут. Сколько минут длился фильм про Тарзана?

1 ч = 60 мин
60 - 15 = 45 (мин)
Ответ: фильм про Тарзана длился 45 минут.
Обратная задача 2:
Вася смотрел по телевизору мультфильм и фильм про Тарзана в течение 1 часа. Фильм про Тарзана длился 45 минут. Сколько минут длился мультфильм?

60 - 45 = 15 (мин)
Ответ: мультфильм длился 15 мин.
5.
| 100 - 8 - 40 | 60 - 18 + 7 |
| 100 - 4 - 70 | 90 - (60 + 24) |
| 80 - 24 + 6 | 80 - (70 - 12) |
Решение
| 100 - 8 - 40 = 52 | 60 - 18 + 7 = 49 |
| 100 - 4 - 70 = 26 | 90 - (60 + 24) = 6 |
| 80 - 24 + 6 = 62 | 80 - (70 - 12) = 22 |
Пояснение
| 100 - 8 - 40 = (100 - 40) - 8 = 60 - 8 = 52 | 60 - 18 + 7 = 42 + 7 = 40 + ( 2 + 7) = 40 + 9 = 49 |
| 100 - 4 - 70 = (100 - 70) - 4 = 30 - 4 = 26 | 90 - (60 + 24) = 90 - 84 = 90 - 80 - 4 = 10 - 4 = 6 |
| 80 - 24 + 6 = 56 + 6 = 50 + 6 + 6 = 50 + 12 = 62 | 80 - (70 - 12) = 80 - 58 = 80 - 50 - 8 = 30 - 8 = 22 |
Выберите год учебника
Стр. 64 учебника 2011-2022:
6. 1) Узнай длину ломаной.

2) Начерти ломанную такой же длины, но состоящую из двух звеньев.
Стр. 64 учебника 2023-2024:
6. 1) Узнай длину ломаной.

2) Начерти ломанную такой же длины, но состоящую из двух звеньев, длины которых выражены в сантиметрах.
Повтори, как найти длину ломаной линии.
Вспомни, сколько сантиметров в одном дециметре.
7.

Повтори случаи табличного сложения.


75 - 20
30 + 25
90 - 43
60 - 13
9 + 8
50 - 35
7 + 6
60 - 20
Повтори состав двузначного числа и действия с двузначными числами.
Занимательные рамки:

Вспомни состав двузначного числа.
В занимательных рамках сумма чисел, расположенных по каждой стороне фигуры, должна быть равна числу в центре фигуры.
Вернуться к содержанию учебника