Номер 1123 - ГДЗ Математика 6 класс. Мерзляк, Полонский. Учебник. Страница 237

Вернуться к содержанию учебника

Страница 237

1120 1121 1122 1123 1124 1125 1126

Вопрос

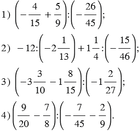
Найдите значение выражения:

Подсказка

Ответ


Вернуться к содержанию учебника