Номер 324 - ГДЗ Алгебра 7 класс. Мерзляк, Полонский. Учебник. Страница 64

Вернуться к содержанию учебника

Страница 64

321 322 323 324 325 326 327

Вопрос

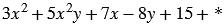
Вместо звездочки запишите такой многочлен, чтобы после приведения подобных членов многочлен не содержал:

1) членов с ;

2) членов с переменной ;

3) членов с переменной .

Подсказка

Вспомните:

  1. Что называют многочленом.
  2. Что называют одночленом.
  3. Сложение и вычитание многочленов.
  4. Правила раскрытия скобок, подобные слагаемые.
  5. Противоположные числа.
  6. Правила сложения рациональных чисел.

Ответ


Вернуться к содержанию учебника