Вернуться к содержанию учебника
Страница 126
726 727 728 729 730 731 732 733 734 735 736
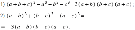
Докажите тождество:
Вспомните: