Номер 7. Задание "Проверь себя" №6 - ГДЗ Алгебра 7 класс. Мерзляк, Полонский. Учебник. Страница 175

Вернуться к содержанию учебника

Задание "Проверь себя" №6. Страница 175

4 5 6 7 8 9 10

Вопрос

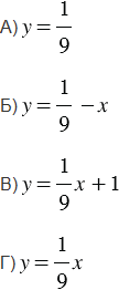
Графиком какой из данных функций является горизонтальная прямая?

Подсказка

Вспомните:

  1. Что называют функцией.
  2. Что такое график функции.
  3. Что такое абсцисса и ордината.
  4. Какую функцию называют линейной.

Ответ

4 5 6 7 8 9 10


Вернуться к содержанию учебника